100 Huile D Olive Helicobacter Pylori

Diet Plan For Helicobacter Pylori Healthy Diet For H Pylori

Diet Plan For Helicobacter Pylori Healthy Diet For H Pylori

Plants Against Helicobacter Pylori To Combat Resistance An Ethnopharmacological Review Sciencedirect

Plants Against Helicobacter Pylori To Combat Resistance An Ethnopharmacological Review Sciencedirect

Khayyan Specialty Foods Knowledge

Khayyan Specialty Foods Knowledge

What Are The Healthy Benefits Of Olive Oil Handmade Palestine Cooper

What Are The Healthy Benefits Of Olive Oil Handmade Palestine Cooper

How To Eliminate Helicobacter Pylori 100 Natural Treatment To Cure H Pylori Bacteria Youtube

How To Eliminate Helicobacter Pylori 100 Natural Treatment To Cure H Pylori Bacteria Youtube

Pylopass Mono 60 Capsules For H Pylori Sinoplasan Ag

Pylopass Mono 60 Capsules For H Pylori Sinoplasan Ag

Pylopass Mono 60 Capsules For H Pylori Sinoplasan Ag

Natural Products For The Prevention And Management Of Helicobacter Pylori Infection Liu 2018 Comprehensive Reviews In Food Science And Food Safety Wiley Online Library

Natural Products For The Prevention And Management Of Helicobacter Pylori Infection Liu 2018 Comprehensive Reviews In Food Science And Food Safety Wiley Online Library

Nonantibiotic Based Therapeutics Targeting Helicobacter Pylori From Nature To The Lab Intechopen

Nonantibiotic Based Therapeutics Targeting Helicobacter Pylori From Nature To The Lab Intechopen

H Pylori Healthy Diet And Daily Instructions Hekma Center

H Pylori Healthy Diet And Daily Instructions Hekma Center

Best Natural Effect Pylopass

Best Natural Effect Pylopass

Oxidation During Digestion Of Meat Interactions With The Diet And Helicobacter Pylori Gastritis And Implications On Human Health Hecke 2017 Comprehensive Reviews In Food Science And Food Safety Wiley Online Library

Oxidation During Digestion Of Meat Interactions With The Diet And Helicobacter Pylori Gastritis And Implications On Human Health Hecke 2017 Comprehensive Reviews In Food Science And Food Safety Wiley Online Library

H Pylori Natural Treatments What It Is How To Get Rid Of It Dr Axe

H Pylori Natural Treatments What It Is How To Get Rid Of It Dr Axe

Pylopass Mono 180 Capsules For H Pylori Sinoplasan Ag

Pylopass Mono 180 Capsules For H Pylori Sinoplasan Ag

Https Onlinelibrary Wiley Com Doi Pdf 10 1111 J 1523 5378 2012 00949 X

Https Onlinelibrary Wiley Com Doi Pdf 10 1111 J 1523 5378 2012 00949 X

Ijms Free Full Text Phytochemicals In Helicobacter Pylori Infections What Are We Doing Now Html

Ijms Free Full Text Phytochemicals In Helicobacter Pylori Infections What Are We Doing Now Html

Pdf Helicobacter Pylori Infection A Brief Overview On Alternative Natural Treatments To Conventional Therapy

Pdf Helicobacter Pylori Infection A Brief Overview On Alternative Natural Treatments To Conventional Therapy

Virgin Olive Oil An Overview Sciencedirect Topics

Virgin Olive Oil An Overview Sciencedirect Topics

Nutrients Free Full Text Effect Of Astaxanthin On Activation Of Autophagy And Inhibition Of Apoptosis In Helicobacter Pylori Infected Gastric Epithelial Cell Line Ags Html

Nutrients Free Full Text Effect Of Astaxanthin On Activation Of Autophagy And Inhibition Of Apoptosis In Helicobacter Pylori Infected Gastric Epithelial Cell Line Ags Html

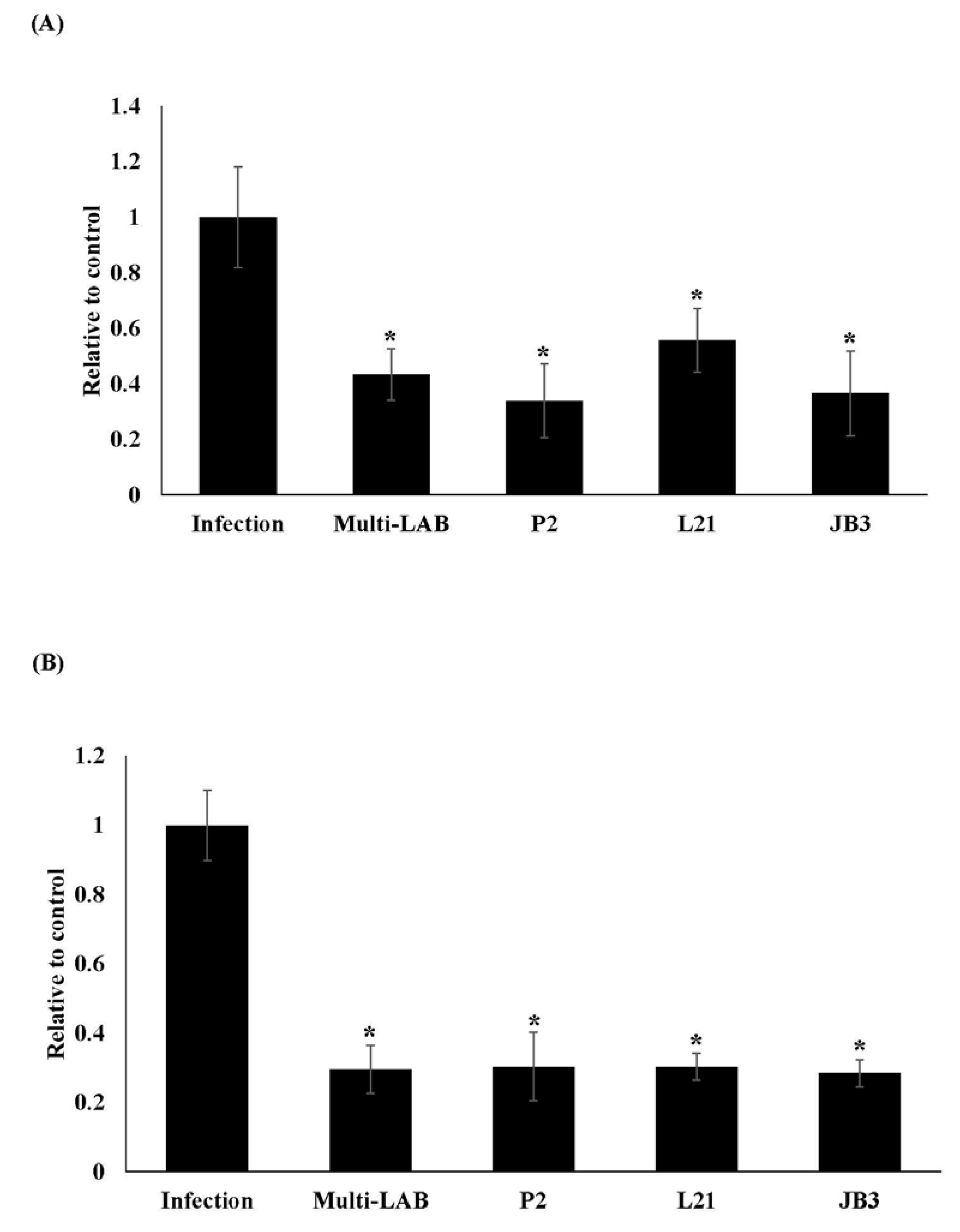
Nutrients Free Full Text Effects Of Multi Strain Probiotics On Immune Responses And Metabolic Balance In Helicobacter Pylori Infected Mice Html

Nutrients Free Full Text Effects Of Multi Strain Probiotics On Immune Responses And Metabolic Balance In Helicobacter Pylori Infected Mice Html

Pdf Modified Toluidine Blue An Alternative Stain For Helicobacter Pylori Detection In Routine Diagnostic Use And Post Eradication Confirmation For Gastric Cancer Prevention

Pdf Modified Toluidine Blue An Alternative Stain For Helicobacter Pylori Detection In Routine Diagnostic Use And Post Eradication Confirmation For Gastric Cancer Prevention

Pdf Activities Of Garlic Oil Garlic Powder And Their Diallyl Constituents Against Helicobacter Pylori

Pdf Activities Of Garlic Oil Garlic Powder And Their Diallyl Constituents Against Helicobacter Pylori

Biopolymers Based Gastroretentive Buoyant Systems For Therapeutic Management Of Helicobacter Pylori Infection Sciencedirect

Biopolymers Based Gastroretentive Buoyant Systems For Therapeutic Management Of Helicobacter Pylori Infection Sciencedirect

Susceptibility Of 10 Clinical Isolates Of H Pylori To Thymus Download Table

Susceptibility Of 10 Clinical Isolates Of H Pylori To Thymus Download Table

Pin On Agenda Medicala

Pin On Agenda Medicala

3

3

Nutrients Free Full Text Asymptomatic Helicobacter Pylori Infection In Preschool Children And Young Women Does Not Predict Iron Bioavailability From Iron Fortified Foods Html

Nutrients Free Full Text Asymptomatic Helicobacter Pylori Infection In Preschool Children And Young Women Does Not Predict Iron Bioavailability From Iron Fortified Foods Html

C60 100 Ml Supplement Key Advance In Increasing Life Expectancy

C60 100 Ml Supplement Key Advance In Increasing Life Expectancy

Olive Oils From Algeria Phenolic Compounds Antioxidant And Antibacterial Activities Topic Of Research Paper In Biological Sciences Download Scholarly Article Pdf And Read For Free On Cyberleninka Open Science Hub

Olive Oils From Algeria Phenolic Compounds Antioxidant And Antibacterial Activities Topic Of Research Paper In Biological Sciences Download Scholarly Article Pdf And Read For Free On Cyberleninka Open Science Hub

Pdf Combination Of Nigella Sativa And Honey In Eradication Of Gastric Helicobacter Pylori Infection

Pdf Combination Of Nigella Sativa And Honey In Eradication Of Gastric Helicobacter Pylori Infection

Helicobacter Pylori Natural Treatments Planet Naturopath

Helicobacter Pylori Natural Treatments Planet Naturopath

Nutrients Free Full Text Astaxanthin Inhibits Mitochondrial Dysfunction And Interleukin 8 Expression In Helicobacter Pylori Infected Gastric Epithelial Cells Html

Nutrients Free Full Text Astaxanthin Inhibits Mitochondrial Dysfunction And Interleukin 8 Expression In Helicobacter Pylori Infected Gastric Epithelial Cells Html

Pdf Anti Helicobacter Pylori Anti Diabetic And Cytotoxicity Activity Of Biosynthesized Gold Nanoparticles Using Moricandia Nitens Water Extract

Pdf Anti Helicobacter Pylori Anti Diabetic And Cytotoxicity Activity Of Biosynthesized Gold Nanoparticles Using Moricandia Nitens Water Extract

Oxidation During Digestion Of Meat Interactions With The Diet And Helicobacter Pylori Gastritis And Implications On Human Health Hecke 2017 Comprehensive Reviews In Food Science And Food Safety Wiley Online Library

Oxidation During Digestion Of Meat Interactions With The Diet And Helicobacter Pylori Gastritis And Implications On Human Health Hecke 2017 Comprehensive Reviews In Food Science And Food Safety Wiley Online Library

Olives A Potential Source Of Probiotics Olive Oil Times

Olives A Potential Source Of Probiotics Olive Oil Times

Assessment Of Helicobacter Pylori Eradication By Virgin Olive Oil

Assessment Of Helicobacter Pylori Eradication By Virgin Olive Oil

Pdf Key Lime Citrus Aurantifolia Inhibits The Growth Of Triple Drug Resistant Helicobacter Pylori

Pdf Key Lime Citrus Aurantifolia Inhibits The Growth Of Triple Drug Resistant Helicobacter Pylori

Crudolio The Best Amazon Price In Savemoney Es

Crudolio The Best Amazon Price In Savemoney Es

Pin On Health Tips

Pin On Health Tips

Foods Free Full Text Procyanidin Rich Extract From Grape Seeds As A Putative Tool Against Helicobacter Pylori Html

Foods Free Full Text Procyanidin Rich Extract From Grape Seeds As A Putative Tool Against Helicobacter Pylori Html

Natural Products And Food Components With Anti Helicobacter Pylori Activities

Natural Products And Food Components With Anti Helicobacter Pylori Activities

Pdf Olive Native Of Mediterranean Region And Health Benefits

Pdf Olive Native Of Mediterranean Region And Health Benefits

How To Cure H Pylori Can Natural Remedies Help

How To Cure H Pylori Can Natural Remedies Help

Biofilm Busting Protocol For H Pylori And Gram Negative Bacteria

Biofilm Busting Protocol For H Pylori And Gram Negative Bacteria

Pin On Health Wellness

Pin On Health Wellness

Siberian Pine Nut Oil For Ulcer Gastritis

Siberian Pine Nut Oil For Ulcer Gastritis

Https Www Invivoclinical Co Uk Files 2017 Invivo Hpylori Pdf

Https Www Invivoclinical Co Uk Files 2017 Invivo Hpylori Pdf

Greek Organic Extra Virgin Olive Oil From Mani Kalamata Koroneiki 250ml Eur 23 90 Picclick De

Greek Organic Extra Virgin Olive Oil From Mani Kalamata Koroneiki 250ml Eur 23 90 Picclick De

Pdf Propolis The Future Therapy Against Helicobacter Pylori Mediated Gastrointestinal Diseases

Pdf Propolis The Future Therapy Against Helicobacter Pylori Mediated Gastrointestinal Diseases

Foods Free Full Text Chrysanthemum Indicum And Chrysanthemum Morifolium Chemical Composition Of Their Essential Oils And Their Potential Use As Natural Preservatives With Antimicrobial And Antioxidant Activities Html

Foods Free Full Text Chrysanthemum Indicum And Chrysanthemum Morifolium Chemical Composition Of Their Essential Oils And Their Potential Use As Natural Preservatives With Antimicrobial And Antioxidant Activities Html

3

3

Natural History Of Infection With Helicobacter Pylori Download Scientific Diagram

Natural History Of Infection With Helicobacter Pylori Download Scientific Diagram

Nutrients Free Full Text Association Between Active H Pylori Infection And Iron Deficiency Assessed By Serum Hepcidin Levels In School Age Children Html

Nutrients Free Full Text Association Between Active H Pylori Infection And Iron Deficiency Assessed By Serum Hepcidin Levels In School Age Children Html

Https Core Ac Uk Download Pdf 82554859 Pdf

Https Core Ac Uk Download Pdf 82554859 Pdf

Assessing The Therapeutic Use Of Lafoensia Pacari St Hil Extract Mangava Brava In The Eradication Of Helicobacter Pylori Double Blind Randomized Clinical Trial Da Mota Menezes 2006 Helicobacter Wiley Online Library

Assessing The Therapeutic Use Of Lafoensia Pacari St Hil Extract Mangava Brava In The Eradication Of Helicobacter Pylori Double Blind Randomized Clinical Trial Da Mota Menezes 2006 Helicobacter Wiley Online Library

Nutrients Free Full Text A Comparison Of Gene Expression Changes In The Blood Of Individuals Consuming Diets Supplemented With Olives Nuts Or Long Chain Omega 3 Fatty Acids Html

Nutrients Free Full Text A Comparison Of Gene Expression Changes In The Blood Of Individuals Consuming Diets Supplemented With Olives Nuts Or Long Chain Omega 3 Fatty Acids Html

Sweet Oil For Ears Uses Effectiveness And Risks

Sweet Oil For Ears Uses Effectiveness And Risks

Therapeutics Role Of Olive Fruits Oil In The Prevention Of Diseases Via Modulation Of Anti Oxidant Anti Tumour And Genetic Activity Abstract Europe Pmc

Therapeutics Role Of Olive Fruits Oil In The Prevention Of Diseases Via Modulation Of Anti Oxidant Anti Tumour And Genetic Activity Abstract Europe Pmc

Https Www Bifi Es Jsancho Estructuramacromoleculas Seminarios Articulos Salillasetal 2019 Pdf

Https Www Bifi Es Jsancho Estructuramacromoleculas Seminarios Articulos Salillasetal 2019 Pdf

Microorganisms Free Full Text Antibacterial Activity Of Three Extra Virgin Olive Oils Of The Campania Region Southern Italy Related To Their Polyphenol Content And Composition Html

Microorganisms Free Full Text Antibacterial Activity Of Three Extra Virgin Olive Oils Of The Campania Region Southern Italy Related To Their Polyphenol Content And Composition Html

Effects Of Berry Extracts On H Pylori Growth At 1 Concentration Download Scientific Diagram

Effects Of Berry Extracts On H Pylori Growth At 1 Concentration Download Scientific Diagram

Coconut The Tree Of Life Oil More Effective Than Permethrin For Head Lice

Coconut The Tree Of Life Oil More Effective Than Permethrin For Head Lice

Https Www Tandfonline Com Doi Pdf 10 1080 1040841x 2017 1418285

Https Www Tandfonline Com Doi Pdf 10 1080 1040841x 2017 1418285

Formulation And Evaluation Of Floating Mucoadhesive Alginate Beads For Targeting Helicobacter Pylori Adebisi 2015 Journal Of Pharmacy And Pharmacology Wiley Online Library

Formulation And Evaluation Of Floating Mucoadhesive Alginate Beads For Targeting Helicobacter Pylori Adebisi 2015 Journal Of Pharmacy And Pharmacology Wiley Online Library

Pdf Cardiovascular Effects Of Edible Oils A Comparison Between Four Popular Edible Oils

Pdf Cardiovascular Effects Of Edible Oils A Comparison Between Four Popular Edible Oils

Pin On H Pylori

Pin On H Pylori

Intestinal Metaplasia Symptoms Causes Diagnosis And Treatment

Intestinal Metaplasia Symptoms Causes Diagnosis And Treatment

Https Research Repository Griffith Edu Au Bitstream 10072 384456 1 Solayman209095 Pdf

Https Research Repository Griffith Edu Au Bitstream 10072 384456 1 Solayman209095 Pdf

Https Onlinelibrary Wiley Com Doi Pdf 10 1111 J 1348 0421 2004 Tb03521 X

Https Onlinelibrary Wiley Com Doi Pdf 10 1111 J 1348 0421 2004 Tb03521 X

Review Figaro Olive Oil For Hair Skin Uses Pros And Cons

Review Figaro Olive Oil For Hair Skin Uses Pros And Cons

Antibacterial Effect Of Kaempferol And Epicatechin On Helicobacter Pylori Springerlink

Antibacterial Effect Of Kaempferol And Epicatechin On Helicobacter Pylori Springerlink

Original Pure Extra Virgin Olive Oil 100ml Royal Herba Premium Quality From Australia Halal Shopee Malaysia

Original Pure Extra Virgin Olive Oil 100ml Royal Herba Premium Quality From Australia Halal Shopee Malaysia

Pdf Red Wine And Green Tea Reduce H Pylori Or Vaca Induced Gastritis In A Mouse Model

Pdf Red Wine And Green Tea Reduce H Pylori Or Vaca Induced Gastritis In A Mouse Model

Drinking Olive Oil Good Or Bad

Drinking Olive Oil Good Or Bad

Traditional Beeswax Cream 40ml With Olive Oil And Calendula Multi Purpose Evergetikon Ebay Shop Pictures And Adds

Traditional Beeswax Cream 40ml With Olive Oil And Calendula Multi Purpose Evergetikon Ebay Shop Pictures And Adds

1

1

Pin On Health

Pin On Health

Figaro Olive Oil Uses Side Effects Composition Price Dosages

Figaro Olive Oil Uses Side Effects Composition Price Dosages

Hydroxytyrosol An Overview Sciencedirect Topics

Hydroxytyrosol An Overview Sciencedirect Topics

A Gastritis Diet Menu Plan Foods To Eat And Avoid

A Gastritis Diet Menu Plan Foods To Eat And Avoid

Amazon Com Naturewise Vitamin D3 5 000 Iu For Healthy Muscle Function Bone Health And Immune Support Non Gmo In Cold Naturewise Bone Health Muscle Function

Amazon Com Naturewise Vitamin D3 5 000 Iu For Healthy Muscle Function Bone Health And Immune Support Non Gmo In Cold Naturewise Bone Health Muscle Function

The Truth About Stomach Acid

The Truth About Stomach Acid

Pin On Health

Pin On Health

Gastroesophageal Reflux Disease Malacards Research Articles Drugs Genes Clinical Trials

Gastroesophageal Reflux Disease Malacards Research Articles Drugs Genes Clinical Trials

Jarrow Formulas Vitamin D3 Cholecalciferol 2 500 Iu 100 Softgels Vitamin D3 Vitamins Dietary

Jarrow Formulas Vitamin D3 Cholecalciferol 2 500 Iu 100 Softgels Vitamin D3 Vitamins Dietary

Badger Hair Oils Jpg 957 358 Natural Body Skin Care Natural Organic Skincare Body Skin Care

Badger Hair Oils Jpg 957 358 Natural Body Skin Care Natural Organic Skincare Body Skin Care

Olive Oil Remedy For Insomnia Sleep Health Science Evoo

Olive Oil Remedy For Insomnia Sleep Health Science Evoo

Ijerph Free Full Text Anti Blastocystis Activity In Vitro Of Egyptian Herbal Extracts Family Asteraceae With Emphasis On Artemisia Judaica Html

Ijerph Free Full Text Anti Blastocystis Activity In Vitro Of Egyptian Herbal Extracts Family Asteraceae With Emphasis On Artemisia Judaica Html

Questions About Vitamins And Supplements Answered By Consumerlab Com

Questions About Vitamins And Supplements Answered By Consumerlab Com

Oregano Oil For Cold Does It Work

Oregano Oil For Cold Does It Work

Vegetable Oil Uses Ear Wax Ear Wax Removal Natural Skin Care Routine

Vegetable Oil Uses Ear Wax Ear Wax Removal Natural Skin Care Routine

Nutrients Free Full Text Chemical Composition And Biological Activities Of Essential Oils Of Curcuma Species Html

Nutrients Free Full Text Chemical Composition And Biological Activities Of Essential Oils Of Curcuma Species Html

Pin On Alibaba

Pin On Alibaba

Singe Cell Oil Sco Based Bioactive Compounds Ii Enzymatic Synthesis Of Glucose Fatty Acid Esters Using Scos As Acyl Group Donors And Their Biological Activities Biorxiv

Singe Cell Oil Sco Based Bioactive Compounds Ii Enzymatic Synthesis Of Glucose Fatty Acid Esters Using Scos As Acyl Group Donors And Their Biological Activities Biorxiv

Viruses Free Full Text Staphylococcal Phage In Combination With Staphylococcus Epidermidis As A Potential Treatment For Staphylococcus Aureus Associated Atopic Dermatitis And Suppressor Of Phage Resistant Mutants Html

Viruses Free Full Text Staphylococcal Phage In Combination With Staphylococcus Epidermidis As A Potential Treatment For Staphylococcus Aureus Associated Atopic Dermatitis And Suppressor Of Phage Resistant Mutants Html

Traditional Beeswax Cream 40ml With Olive Oil And Calendula Multi Purpose Evergetikon Ebay Shop Pictures And Adds

Traditional Beeswax Cream 40ml With Olive Oil And Calendula Multi Purpose Evergetikon Ebay Shop Pictures And Adds

The Worst Of The Worst Canola Oil Video Canola Oil Healthy Oils Oils

The Worst Of The Worst Canola Oil Video Canola Oil Healthy Oils Oils

Genetic Transcriptome Proteomic And Epidemiological Evidence For Blood Brain Barrier Disruption And Polymicrobial Brain Invasion As Determinant Factors In Alzheimer S Disease Biorxiv

Genetic Transcriptome Proteomic And Epidemiological Evidence For Blood Brain Barrier Disruption And Polymicrobial Brain Invasion As Determinant Factors In Alzheimer S Disease Biorxiv

Cinnamon Oil 10 Proven Health Benefits And Uses Dr Axe

Cinnamon Oil 10 Proven Health Benefits And Uses Dr Axe

Ijerph Free Full Text Mouthwash Based On Ozonated Olive Oil In Caries Prevention A Preliminary In Vitro Study Html

Ijerph Free Full Text Mouthwash Based On Ozonated Olive Oil In Caries Prevention A Preliminary In Vitro Study Html

Https Encrypted Tbn0 Gstatic Com Images Q Tbn And9gcq4houqlszyihinqfiley3v4qck6jadm80mbyv W U Usqp Cau

Https Encrypted Tbn0 Gstatic Com Images Q Tbn And9gcq4houqlszyihinqfiley3v4qck6jadm80mbyv W U Usqp Cau

Source : pinterest.com